Energiesparendes Bauen
Ingenieurinnen und Ingenieure unterstützen Sie bei der energetischen Ertüchtigung Ihrer Immobilie.

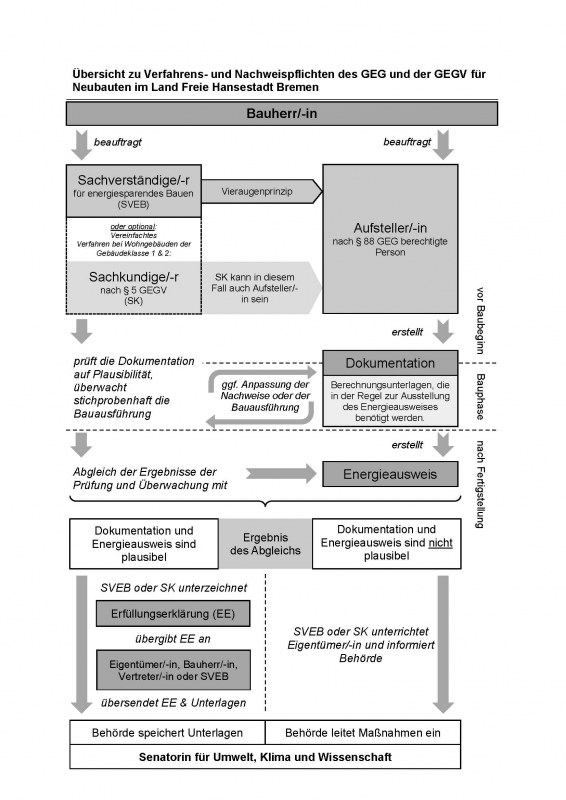
Das Gebäudeenergiegesetz 2024 GEG)
Das „Gesetz zur Einsparung von Energie und zur Nutzung erneuerbarer Energien zur Wärme und Kälteerzeugung in Gebäuden“ (Gebäudeenergiegesetz GEG ) ist ein deutsches
Bundesgesetz und wird durch die Länder vollzogen. Der § 1 Absatz 1 GEG gibt detailliertere Auskunft über seinen veränderten Zweck.
"Ziel dieses Gesetzes ist es, einen wesentlichen Beitrag zur Erreichung der nationalen Klimaschutzziele zu leisten. Dies soll durch wirtschaftliche, sozialverträgliche und
effizienzsteigernde Maßnahmen zur Einsparung von Treibhausgasemissionen sowie der zunehmenden Nutzung von erneuerbaren Energien oder unvermeidbarer Abwärme für die
Energieversorgung von Gebäuden erreicht werden".

Die Durchführungsverordnung des GEG im Land Bremen (GEGV)

Die Durchführungsverordnung zum Gebäudeenergiegesetz sowie Merkblätter zu Verfahrens- und Nachweispflichten finden Sie auf der Website der Senatorin für Umwelt, Klima und Wissenschaft:

https://umwelt.bremen.de/klima/klima-energie/gebaeudeenergiegesetz-geg/verfahren-und-nachweise-fuer-neubauten-und-bauen-im-bestand-2387511

Eine allgemeine Informationsplattform zum Gebäudeenergiegesetz im Land Bremen finden Sie auf der Website der Senatorin für Umwelt, Klima und Wissenschaft:
 

https://umwelt.bremen.de/klima/klima energie/gebaeudeenergiegesetz geg/informationsplattform zum gebaeudeenergiegesetz 24774

Die Merkblätter zum Vollzug des GEG in Bremen wurden entsprechend angepasst, auf der Internetseite zur Verfügung gestellt und sollen auch den Bauanträgen beigefügt werden.

Für Fragen zu diesem Themenkomplex können sich betroffene Bauherren direkt an die zuständige Stelle bei der Senatorin für Umwelt, Klima und Wissenschaft wenden:
Senatorin für Umwelt, Klima und Wissenschaft
Referat 44 "Recht und Vollzug der Wärmewende"
An der Reeperbahn 2, 28217 Bremen
Tel.: +49 421 361-14438; Fax: +49 421 496-14438

oder über deren Website.

Auskünfte zur Anwendung des GEG in einem konkreten Fall erhalten Sie auch telefonisch unter der Nummer 0421 361-65999.


Weiterführender Link für die zugrunde liegende Bundesgesetzgebung:

Gesetz zur Einsparung von Energie und zur Nutzung erneuerbarer Energien zur Wärme- und Kälteerzeugung in Gebäuden

 

 

Sachverständige für energiesparendes Bauen

Anerkennungsverfahren:

Gemäß § 6 GEGV können grundsätzlich alle Personen, die einen berufsqualifizierenden Hochschulabschluss in

a) den Fachrichtungen Architektur, Hochbau, Bauingenieurwesen, Technische Gebäudeausrüstung, Bauphysik, Maschinenbau oder Elektrotechnik

oder

b) einer anderen technischen oder naturwissenschaftlichen Fachrichtung mit einem Ausbildungsschwerpunkt auf einem der unter Buchstabe a genannten Gebiete

erlangt haben sowie einige weitere Anerkennungsvoraussetzungen nachweisen, als Sachverständiger für energiesparendes Bauen anerkannt werden. Die Ingenieurkammer der Freien Hansestadt Bremen ist Geschäftsstelle des zuständigen Prüfungsausschusses und der Ansprechpartner für die Anerkennung.

Neben der fachtheoretischen Qualifikation sind für die Anerkennung vor allem die „überdurchschnittlichen Fähigkeiten im Bereich des energiesparenden Bauens einschließlich der Nutzung erneuerbarer Energien“ nachzuweisen – vgl. § 6 Absatz 1 GEGV.

 



Für Fragen zum Anerkennungsverfahren bei der Ingenieurkammer stehen Ihnen die Mitarbeiter der Geschäftsstelle gerne zur Verfügung:

Ingenieurkammer der Freien Hansestadt Bremen
Telefon: 0421 16 26 89-0
E-Mail: info@ikhb.de

 

Fördermöglichkeiten beim Energetischen Bauen

Die Bremer Energiekonsens ist die Klimaschutzagentur im Land Bremen. Sie bietet Informationen zur Förderprogrammen im Land Bremen sowie  Veranstaltungen und Projekte rund um das Thema Energieeinsparung.

Über die bundesweite Förderlandschaft können Sie sich hier informieren: www.foerderdatenbank.de

Die Bremer Aufbau-Bank (BAB) ist die Förderbank für Bremen und Bremerhaven. Die Förderlotsen der BAB beraten Sie über die aktuellen Fördermöglichkeiten.

Energieeffizienz-Planer

Bundesingenieurkammer und Bundesarchitektenkammer betreiben gemeinsam ein bundesweites Internetportal, das alle den Ingenieurkammern oder Architektenkammern angehörige Energieberater – nach Bundesländern geordnet – zusammenfasst:

www.energieeffizienz-planer.de